16/04/2026
En el vasto universo de la electricidad, la corriente continua (CC) se nos presenta como un camino directo y predecible. Sin embargo, cuando nos adentramos en el dinámico mundo de la corriente alterna (CA), las cosas se vuelven un poco más complejas y, a la vez, fascinantes. Aquí, componentes como inductores y condensadores no solo almacenan y liberan energía, sino que también interactúan de maneras únicas con el flujo cambiante de la corriente, introduciendo conceptos como la reactancia y la impedancia. Comprender estos fenómenos es fundamental para diseñar, analizar y optimizar cualquier circuito de CA, desde los más simples hasta los sistemas de potencia más complejos.

- ¿Qué es la Impedancia (Z)?
- La Reactancia (X): El Corazón de la Oposición en AC
- Relación entre Impedancia, Resistencia y Reactancia
- ¿Cómo se calcula la Impedancia Equivalente en un Circuito?
- Impacto y Aplicaciones Prácticas
- Tabla Comparativa: Resistencia, Reactancia Inductiva y Reactancia Capacitiva
- Preguntas Frecuentes (FAQ)
¿Qué es la Impedancia (Z)?
En un circuito de corriente alterna, la oposición total al flujo de corriente no se limita a la resistencia óhmica que ya conocemos. Aquí entra en juego la impedancia, una magnitud que engloba la resistencia y la reactancia. Representada comúnmente por la letra Z y medida en ohmios (Ω), la impedancia es la medida de la oposición efectiva que un circuito presenta al paso de una corriente alterna. A diferencia de la resistencia pura, la impedancia no solo considera la disipación de energía en forma de calor, sino también el almacenamiento y la liberación de energía en campos eléctricos y magnéticos, lo que provoca desfases entre la tensión y la corriente.
Es crucial entender que la impedancia no es una suma aritmética simple de resistencia, reactancia inductiva y reactancia capacitiva. Su naturaleza es más compleja, involucrando vectores o números complejos, ya que la reactancia introduce un componente de fase. Para un circuito específico, la impedancia no es constante; de hecho, varía significativamente con la frecuencia de la corriente alterna. Esto significa que un mismo componente o circuito puede presentar una oposición muy diferente a corrientes de distintas frecuencias. En un circuito en serie que contiene resistencias, inductores y condensadores (un circuito RLC), la impedancia total del circuito suele ser mayor que la resistencia pura de los componentes resistivos.
La Reactancia (X): El Corazón de la Oposición en AC
Mientras que la resistencia se opone al flujo de corriente en cualquier tipo de circuito (CC o CA), la reactancia es la oposición específica que ofrecen los condensadores y los inductores al paso de la corriente alterna. Se representa con la letra X y, al igual que la impedancia y la resistencia, se mide en ohmios (Ω). La reactancia es la responsable de los cambios de fase entre la corriente y el voltaje en un circuito de CA, una característica distintiva que no se observa con las resistencias puras.
La reactancia se divide en dos tipos principales, cada uno con un comportamiento único y opuesto:
- Reactancia Inductiva (XL): Asociada a los inductores (o bobinas).
- Reactancia Capacitiva (Xc): Asociada a los condensadores.
La reactancia total de un circuito se calcula como la diferencia entre la reactancia inductiva y la reactancia capacitiva: X = XL - Xc. Dependiendo de cuál de las dos reactancias sea mayor, el circuito exhibirá un comportamiento predominantemente inductivo o capacitivo.
Reactancia Inductiva (XL)
La reactancia inductiva (XL) es la oposición que presenta un inductor al cambio de corriente en un circuito de CA. Cuando una corriente alterna pasa a través de una bobina (inductor), el campo magnético generado cambia constantemente. Este cambio induce una fuerza electromotriz (FEM) en la bobina que se opone al cambio de corriente que la produce, según la Ley de Lenz. Cuanto más rápido cambia la corriente, es decir, cuanto mayor es la frecuencia de la CA, mayor es esta oposición.
La reactancia inductiva es directamente proporcional a la frecuencia de la corriente alterna y a la inductancia del componente. Esto significa que a una mayor frecuencia, el inductor ofrece una mayor resistencia al paso de la corriente. Por el contrario, para una corriente continua (frecuencia cero), un inductor ideal no ofrece ninguna oposición, comportándose como un cortocircuito.
La fórmula para calcular la reactancia inductiva es:
XL = ωL = 2 × π × f × L
Donde:
XLes la reactancia inductiva, medida en ohmios (Ω).ω(omega) es la frecuencia angular, medida en radianes por segundo (rad/s).fes la frecuencia de la corriente alterna, medida en hercios (Hz).Les la inductancia del inductor, medida en henrios (H).
La reactancia inductiva provoca que la tensión adelante a la corriente en 90 grados (o que la corriente atrase a la tensión en 90 grados) en un circuito puramente inductivo.
Reactancia Capacitiva (Xc)
Por otro lado, la reactancia capacitiva (Xc) es la oposición que presenta un condensador al cambio de voltaje en un circuito de CA. Aunque un condensador bloquea completamente la corriente continua (comportándose como un circuito abierto una vez cargado), permite el paso de la corriente alterna. Esto se debe a que el condensador se carga y descarga continuamente con el cambio de polaridad de la CA, lo que se traduce en un flujo de corriente a través del circuito.
A diferencia de la reactancia inductiva, la reactancia capacitiva es inversamente proporcional a la frecuencia de la corriente alterna y a la capacitancia del componente. Esto significa que a una mayor frecuencia, el condensador ofrece una menor oposición al paso de la corriente. Es por esto que los condensadores son a menudo utilizados para filtrar componentes de baja frecuencia o bloquear CC mientras permiten el paso de CA.
La fórmula para calcular la reactancia capacitiva es:
Xc = 1 / (ω × C) = 1 / (2 × π × f × C)
Donde:
Xces la reactancia capacitiva, medida en ohmios (Ω).ω(omega) es la frecuencia angular, medida en radianes por segundo (rad/s).fes la frecuencia de la corriente alterna, medida en hercios (Hz).Ces la capacitancia del condensador, medida en faradios (F).
La reactancia capacitiva provoca que la corriente adelante a la tensión en 90 grados (o que la tensión atrase a la corriente en 90 grados) en un circuito puramente capacitivo.
Relación entre Impedancia, Resistencia y Reactancia
La impedancia (Z) es la combinación de la resistencia (R) y la reactancia (X) en un circuito de CA. Matemáticamente, en el plano complejo, se expresa como:
Z = R + jX
Donde:
Zes la impedancia en ohmios (Ω).Res la resistencia en ohmios (Ω).Xes la reactancia total en ohmios (Ω), dondeX = XL - Xc.jes la unidad imaginaria (√-1), que indica que la reactancia es un componente perpendicular a la resistencia en un diagrama fasorial.
La magnitud de la impedancia, que es lo que usualmente medimos o calculamos para determinar la oposición total al flujo de corriente, se obtiene usando el teorema de Pitágoras, ya que la resistencia y la reactancia son componentes 'ortogonales' en el plano complejo:
|Z| = √(R² + X²) = √(R² + (XL - Xc)²)
Esta fórmula es fundamental para cualquier análisis de circuitos de CA. Un caso especial es cuando la reactancia total X = 0 (es decir, XL = Xc), lo que se conoce como resonancia. En resonancia, la impedancia del circuito se vuelve puramente resistiva (|Z| = R), y la corriente alcanza su valor máximo para una tensión dada, lo cual es crucial en el diseño de filtros y osciladores.

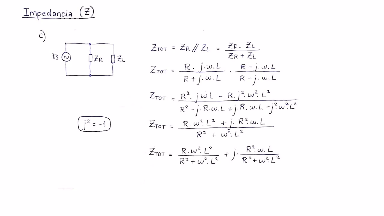
¿Cómo se calcula la Impedancia Equivalente en un Circuito?
Calcular la impedancia equivalente de un circuito es esencial para simplificar su análisis y comprender su comportamiento general. Al igual que con las resistencias en CC, los componentes reactivos y resistivos pueden combinarse en configuraciones en serie o en paralelo, aunque el cálculo es más complejo debido a la naturaleza vectorial de la impedancia.
Circuitos en Serie
Para componentes en serie, la impedancia equivalente es simplemente la suma de las impedancias individuales. Sin embargo, esta suma debe realizarse vectorialmente (o usando números complejos). Si tenemos un circuito en serie con una resistencia R, una reactancia inductiva XL y una reactancia capacitiva Xc, la impedancia total Zeq se calcula como:
Zeq = R + j(XL - Xc)
La magnitud de la impedancia equivalente en serie sería:
|Zeq| = √(R² + (XL - Xc)²)
Es importante recordar que R, XL y Xc son valores escalares, pero la forma en que se combinan para la impedancia total involucra sus propiedades de fase.
Circuitos en Paralelo
El cálculo de la impedancia equivalente para componentes en paralelo es más complejo y generalmente se facilita utilizando el concepto de admitancia (Y), que es el inverso de la impedancia (Y = 1/Z). La admitancia también es un número complejo, con una parte real (conductancia G) y una parte imaginaria (susceptancia B): Y = G + jB.
Para componentes en paralelo, las admitancias se suman directamente:
Yeq = Y1 + Y2 + Y3 + ...
Una vez calculada la admitancia equivalente, la impedancia equivalente se obtiene invirtiendo este valor:
Zeq = 1 / Yeq
Aunque la fórmula general para dos impedancias en paralelo es similar a la de las resistencias: Zeq = (Z1 * Z2) / (Z1 + Z2), la multiplicación y suma deben realizarse con números complejos, lo que puede ser computacionalmente intensivo sin herramientas adecuadas. Por ello, el enfoque de la admitancia suele ser más práctico para circuitos paralelos complejos.
Impacto y Aplicaciones Prácticas
La comprensión de XL y XC es fundamental en innumerables aplicaciones de ingeniería eléctrica y electrónica:
- Filtros: Los filtros electrónicos, que permiten el paso de ciertas frecuencias y bloquean otras, se diseñan utilizando combinaciones específicas de inductores y condensadores para aprovechar sus propiedades de reactancia dependientes de la frecuencia.
- Sistemas de Potencia: En las redes eléctricas, la reactancia de las líneas de transmisión y los transformadores influye en la caída de tensión y el factor de potencia, siendo crítica para la eficiencia y estabilidad del sistema.
- Electrónica de Radiofrecuencia (RF): En circuitos de RF, la impedancia es crucial para la adaptación de impedancias, asegurando la máxima transferencia de potencia entre etapas (por ejemplo, entre un amplificador y una antena).
- Fuentes de Alimentación Conmutadas: Los inductores y condensadores son componentes clave en estas fuentes, donde sus reactancias se utilizan para almacenar y liberar energía eficientemente a altas frecuencias.
Tabla Comparativa: Resistencia, Reactancia Inductiva y Reactancia Capacitiva
Para consolidar los conceptos, la siguiente tabla resume las características clave de estos tres elementos fundamentales en circuitos de CA:
| Característica | Resistencia (R) | Reactancia Inductiva (XL) | Reactancia Capacitiva (Xc) |
|---|---|---|---|
| Símbolo | R | XL | Xc |
| Unidad | Ohm (Ω) | Ohm (Ω) | Ohm (Ω) |
| Oposición a | Flujo de corriente | Cambio de corriente | Cambio de voltaje |
| Comportamiento en CC | Oposición constante (R) | Cero (cortocircuito ideal) | Infinita (circuito abierto ideal) |
| Dependencia de Frecuencia | No (idealmente) | Directamente proporcional (XL = 2πfL) | Inversamente proporcional (Xc = 1/(2πfC)) |
| Desfase V-I | 0° (en fase) | Tensión adelanta a corriente 90° | Corriente adelanta a tensión 90° |
Preguntas Frecuentes (FAQ)
¿Cuál es la diferencia principal entre resistencia e impedancia?
La resistencia es la oposición al flujo de corriente en circuitos de CC y CA, que solo disipa energía en forma de calor. La impedancia es la oposición total al flujo de corriente en circuitos de CA, que incluye la resistencia y la reactancia (oposición de inductores y condensadores), la cual también causa desfases entre la tensión y la corriente. La resistencia es un caso particular de la impedancia donde la reactancia es cero.
¿Puede la impedancia ser cero?
En un circuito real, la impedancia nunca es exactamente cero debido a la presencia inevitable de alguna resistencia. Sin embargo, en el caso ideal de un circuito puramente reactivo donde XL = Xc y la resistencia es cero, la impedancia podría ser cero en la resonancia. En la práctica, esto es una idealización.
¿Por qué XL y Xc se restan para obtener la reactancia total?
Se restan porque sus efectos de fase son opuestos. La reactancia inductiva hace que la tensión adelante a la corriente, mientras que la reactancia capacitiva hace que la corriente adelante a la tensión. Son 'vectorialmente' opuestas, por lo que una tiende a cancelar el efecto de la otra. Si XL > Xc, el circuito es inductivo; si Xc > XL, es capacitivo.
¿Qué significa que la impedancia varía con la frecuencia?
Significa que la oposición que un circuito presenta al paso de la corriente alterna no es constante, sino que depende de la frecuencia de esa corriente. Un circuito puede ser casi un cortocircuito a una frecuencia y un circuito abierto a otra, debido a cómo XL y Xc cambian con la frecuencia. Esto es la base para el diseño de filtros y sintonizadores.
¿Es posible tener solo XL o solo Xc en un circuito real?
En la práctica, ningún componente es puramente inductivo o puramente capacitivo. Un inductor real tendrá una pequeña resistencia en su bobinado, y un condensador real tendrá una resistencia en serie equivalente (ESR) y una resistencia de fuga en paralelo. Sin embargo, en muchos análisis, se idealizan para simplificar los cálculos y entender el comportamiento dominante.
En resumen, la reactancia inductiva (XL) y la reactancia capacitiva (Xc) son dos caras de la misma moneda en el mundo de los circuitos de corriente alterna, representando la oposición que ofrecen los inductores y condensadores, respectivamente. Su interacción da lugar al concepto de impedancia, la oposición total al flujo de corriente que es fundamental para el diseño y análisis de sistemas electrónicos y eléctricos. Dominar estos conceptos no solo nos permite calcular valores, sino también predecir y manipular el comportamiento de la energía en un sinfín de aplicaciones modernas.
Si quieres conocer otros artículos parecidos a XL y XC: Desvelando la Impedancia en Circuitos AC puedes visitar la categoría Cálculos.
