16/01/2022
Las matemáticas están llenas de funciones fascinantes que nos permiten modelar y comprender el mundo que nos rodea. Entre ellas, las funciones logarítmicas destacan por su naturaleza única y su comportamiento intrigante. A menudo, se presentan como el 'reverso' de las funciones exponenciales, lo que les confiere propiedades muy particulares, especialmente en lo que respecta a su dominio. Si alguna vez te has preguntado por qué no puedes calcular el logaritmo de un número negativo o de cero, estás a punto de descubrirlo. Este artículo te guiará a través de las profundidades de las funciones logarítmicas, desvelando su esencia y, lo más importante, explorando en detalle cuál es el conjunto de valores de entrada que estas funciones pueden aceptar, es decir, su dominio.

Una característica curiosa, y que profundizaremos más adelante, es que mientras las funciones exponenciales crecen muy rápidamente a medida que sus valores tienden al infinito, los logaritmos, por el contrario, crecen de manera extremadamente lenta conforme se alejan al infinito. Esta lentitud es una de las muchas peculiaridades que las hacen tan interesantes y útiles en diversas aplicaciones.
¿Qué son las Funciones Logarítmicas?
La función logarítmica es, en esencia, la función inversa de la función exponencial. Esto significa que si una función exponencial 'hace' algo, la función logarítmica 'deshace' ese algo. Las funciones logarítmicas se indican con el símbolo \(\log\), excepto en el caso especial del logaritmo natural, que se denota como \(\ln\). El logaritmo natural tiene una base particular, el número de Euler (e \(\approx 2.71828\)), y es omnipresente en la ciencia y la ingeniería.
Al igual que las funciones exponenciales, que tienen una base como \(a^x\) donde la base es \(a\), los logaritmos también tienen una base. Esta se indica como:
\(\log_{a}x\)Aquí, \(a\) es cualquier número real positivo distinto de 1. Por ejemplo, el logaritmo de base diez, muy utilizado en cálculos científicos y de ingeniería, se escribe como:
\(\log_{10}x\)O simplemente \(\log x\) cuando la base 10 se asume implícitamente. Otra base común es \(e\), dando lugar al logaritmo natural \(\ln x\), que es \(\log_e x\).
Existen cuatro características fundamentales de las funciones logarítmicas que las definen y distinguen:
- Son el inverso de las funciones exponenciales: Por ejemplo, la función \(f(x)=\log_2 x\) es la inversa de \(g(x)=2^x\). Esto implica que si \(2^y = x\), entonces \(\log_2 x = y\). Son dos formas de expresar la misma relación.
- Crecen muy lentamente: A medida que el argumento del logaritmo aumenta, el valor de la función crece, pero a un ritmo decreciente. Por ejemplo, \(\log_3(8)=1{,}89…\), mientras que \(\log_3 80=3{,}98…\) y \(\log_3 800=6{,}084…\). A pesar de que el argumento se multiplicó por 10 y luego por 100, el resultado del logaritmo apenas se duplicó y luego aumentó solo un poco más.
- Tienen como dominio solo los números reales positivos: Este es el punto central de nuestro artículo. Los logaritmos no están definidos para cero ni para números negativos. Explicaremos el 'porqué' de esta restricción en detalle.
- Tienen como rango todos los números reales: A diferencia de su dominio, el rango de una función logarítmica puede abarcar cualquier número real, desde el infinito negativo hasta el infinito positivo.
Es importante señalar que si la base del logaritmo es menor que \(1\) (pero mayor que \(0\)), como en \(\log_{\frac{1}{2}}(x)\), la función decrece en lugar de crecer. Esto significa que a medida que el valor de \(x\) aumenta, el valor del logaritmo disminuye.
Finalmente, la variable \(x\) dentro de \(\log_a x\) se denomina el argumento de la función logarítmica. Este argumento puede ser más complejo que simplemente \(x\); podría ser una expresión algebraica como \(\log_{10} (x^3+34)\), lo cual impacta directamente en cómo determinamos su dominio.

Profundizando en el Dominio de un Logaritmo: La Restricción Fundamental
El concepto de dominio de una función es crucial en matemáticas; se refiere al conjunto de todos los posibles valores de entrada para los cuales la función está definida y produce un resultado real. Por ejemplo, el dominio de \(f(x)=x^2\) son todos los números reales, ya que puedes elevar cualquier número real al cuadrado. Sin embargo, el dominio de \(g(x)=1/x\) excluye a \(x=0\) porque la división por cero no está definida.
Para las funciones logarítmicas, la restricción del dominio es una de sus características más distintivas y, a menudo, la fuente de dudas para estudiantes. Como se mencionó, los logaritmos tienen como dominio solo los reales positivos. Esto significa que el argumento de un logaritmo (el valor dentro del paréntesis o después de la notación logarítmica) debe ser siempre estrictamente mayor que cero. Nunca puede ser cero ni un número negativo.
Pero, ¿por qué esta restricción? La clave reside en la naturaleza inversa de los logaritmos y las funciones exponenciales. Consideremos una función exponencial general \(y = a^x\), donde \(a\) es una base positiva y distinta de 1. No importa qué valor real le des a \(x\) (positivo, negativo o cero), el resultado \(y\) siempre será un número positivo. Por ejemplo, \(2^3=8\), \(2^0=1\), \(2^{-3}=1/8\). En ningún caso obtendrás un resultado cero o negativo. El rango de una función exponencial \(a^x\) es \((0, \infty)\).
Dado que la función logarítmica es la inversa de la función exponencial, el dominio de la función logarítmica es el rango de la función exponencial. Por lo tanto, si \(y = \log_a x\) es equivalente a \(a^y = x\), y sabemos que \(a^y\) siempre produce un valor positivo, entonces \(x\) (el argumento del logaritmo) debe ser siempre positivo. Es una correspondencia directa: los resultados que una exponencial puede producir son las entradas que un logaritmo puede aceptar.
Esta es la restricción fundamental que todo entusiasta de las calculadoras y las matemáticas debe comprender: para cualquier función logarítmica \(\log_a(f(x))\), la expresión \(f(x)\) debe cumplir la condición \(f(x) > 0\).
Cómo Calcular el Dominio de una Función Logarítmica
Determinar el dominio de una función logarítmica no es complicado una vez que se entiende la restricción fundamental. Aquí te presentamos un método paso a paso, ilustrado con ejemplos, para calcular el dominio de cualquier función logarítmica:
Pasos para Encontrar el Dominio:
- Identifica el Argumento del Logaritmo: El argumento es la expresión que se encuentra dentro del logaritmo (lo que está entre paréntesis, o justo después de \(\log\) o \(\ln\)).
- Establece la Desigualdad: La condición para que el logaritmo esté definido es que su argumento sea estrictamente mayor que cero. Por lo tanto, debes establecer el argumento \( > 0\).
- Resuelve la Desigualdad: Resuelve la desigualdad resultante para encontrar los valores de la variable que satisfacen la condición.
- Expresa el Dominio: Escribe el conjunto de soluciones en notación de intervalo o como un conjunto de números reales.
Ejemplos Prácticos:
Ejemplo 1: Dominio de \(f(x) = \log(4x - 3)\)
Este es un ejemplo clásico que nos fue proporcionado. Sigamos los pasos:
- Argumento: \(4x - 3\)
- Desigualdad: \(4x - 3 > 0\)
- Resolver:
\(4x > 3\)
\(x > \frac{3}{4}\) - Dominio: El dominio de la función es \(( \frac{3}{4}, \infty )\). Esto significa que cualquier número real mayor que \(3/4\) es un valor de entrada válido para esta función.
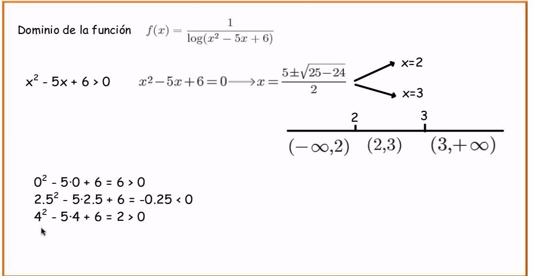
Ejemplo 2: Dominio de \(g(x) = \ln(x^2 - 9)\)
Aquí, el argumento es una expresión cuadrática.

Las funciones asignan valores de salida a los valores de entrada. El dominio de una función es el conjunto de todos los posibles valores de entrada de la función. Por ejemplo, el dominio de f(x)=x² consiste de todos los números reales, y el dominio de g(x)=1/x consiste de todos los números reales excepto x=0. - Argumento: \(x^2 - 9\)
- Desigualdad: \(x^2 - 9 > 0\)
- Resolver: Esta es una desigualdad cuadrática. Primero, encontramos las raíces de \(x^2 - 9 = 0\), que son \(x = 3\) y \(x = -3\). Luego, podemos analizar el signo de la expresión. La parábola \(y = x^2 - 9\) abre hacia arriba, por lo que \(x^2 - 9\) será mayor que cero fuera de las raíces.
\((x - 3)(x + 3) > 0\)
Esto se cumple cuando \(x < -3\) o cuando \(x > 3\). - Dominio: El dominio de la función es \((-\infty, -3) \cup (3, \infty)\).
Ejemplo 3: Dominio de \(h(x) = \log_{5}(x + 5)\)
Un ejemplo sencillo con una base diferente.
- Argumento: \(x + 5\)
- Desigualdad: \(x + 5 > 0\)
- Resolver:
\(x > -5\) - Dominio: El dominio de la función es \((-5, \infty)\).
Estos ejemplos demuestran que, aunque la expresión del argumento pueda variar en complejidad, el principio para determinar el dominio de una función logarítmica permanece constante: el argumento debe ser siempre estrictamente positivo.
Tabla Comparativa: Propiedades Clave de las Funciones Logarítmicas
Para consolidar la comprensión de las funciones logarítmicas y sus propiedades, incluyendo el dominio, la siguiente tabla resume sus características esenciales, diferenciando por el valor de la base.
Propiedad \(\log_a x\) (cuando \(a > 1\)) \(\log_a x\) (cuando \(0 < a < 1\)) \(\ln x\) (Logaritmo Natural) Base (\(a\)) Cualquier número real \(> 1\) (ej. 2, 10) Cualquier número real entre \(0\) y \(1\) (ej. 1/2, 0.5) El número de Euler, \(e \approx 2.71828\) Dominio \((0, \infty)\) (Todos los reales positivos) \((0, \infty)\) (Todos los reales positivos) \((0, \infty)\) (Todos los reales positivos) Rango \((-\infty, \infty)\) (Todos los reales) \((-\infty, \infty)\) (Todos los reales) \((-\infty, \infty)\) (Todos los reales) Función Inversa \(y = a^x\) \(y = a^x\) \(y = e^x\) Comportamiento Creciente (a medida que \(x\) aumenta, \(y\) aumenta) Decreciente (a medida que \(x\) aumenta, \(y\) disminuye) Creciente Punto de Intersección con Eje X \((1, 0)\) (siempre que el argumento sea 1, el logaritmo es 0) \((1, 0)\) \((1, 0)\) Como se puede observar en la tabla, el dominio es una característica constante para todas las funciones logarítmicas, independientemente de su base. Esta uniformidad subraya la importancia de la regla de que el argumento debe ser siempre positivo.
Preguntas Frecuentes (FAQs) sobre el Dominio de un Logaritmo
¿Puede el argumento de un logaritmo ser cero o negativo?
No, bajo ninguna circunstancia. El argumento de un logaritmo (la expresión dentro del paréntesis) debe ser estrictamente mayor que cero. Esto se debe a que la función logarítmica es la inversa de la función exponencial, y las funciones exponenciales con bases positivas siempre producen resultados positivos. Por lo tanto, no hay ningún número real al que puedas elevar una base positiva para obtener cero o un número negativo.

El dominio de una función logarítmica, independientemente de la base, son todos los números reales positivos, es decir, el intervalo (0, ∞). Esto significa que solo se pueden tomar logaritmos de números estrictamente mayores que cero. Explicación: Definición de logaritmo: Un logaritmo, en términos simples, responde a la pregunta: "¿A qué potencia debo elevar la base para obtener el argumento?". Por ejemplo, log₂(8) = 3 porque 2³ = 8. Argumento positivo: La función logarítmica solo está definida para valores positivos del argumento (el número al que se le está calculando el logaritmo). Esto se debe a que no existe una potencia real a la que se pueda elevar una base positiva para obtener un número negativo o cero. Notación: Si la función logarítmica es f(x) = logₐ(x), donde 'a' es la base, entonces el dominio es x > 0, o en notación de intervalo, (0, ∞). Ejemplos: En resumen, para cualquier función logarítmica, el argumento (lo que está dentro del logaritmo) debe ser siempre mayor que cero para que la función esté definida. ¿Cuál es el dominio del logaritmo natural (\(\ln\))?
El dominio del logaritmo natural (\(\ln x\)) es exactamente el mismo que el de cualquier otra función logarítmica: el conjunto de todos los números reales positivos, es decir, \((0, \infty)\). El hecho de que su base sea \(e\) no altera la regla fundamental de que su argumento debe ser mayor que cero.
¿Por qué los logaritmos crecen tan lento?
Los logaritmos crecen muy lentamente porque son la operación inversa de la exponenciación. Una función exponencial, como \(2^x\), crece extremadamente rápido. Por ejemplo, \(2^{10} = 1024\) y \(2^{20} = 1,048,576\). Para 'deshacer' esto, el logaritmo debe comprimir un rango de valores de entrada muy grande en un rango de salida relativamente pequeño. Por ejemplo, \(\log_2(1024) = 10\) y \(\log_2(1,048,576) = 20\). Observa cómo el argumento aumentó un millón de veces, pero el resultado del logaritmo solo se duplicó. Esta 'compresión' es lo que causa su crecimiento lento.
¿Cómo se relaciona el dominio de un logaritmo con el rango de una función exponencial?
Existe una relación directa y fundamental: el dominio de una función logarítmica es idéntico al rango de su función exponencial inversa. Dado que una función exponencial \(a^x\) (con \(a > 0, a \neq 1\)) siempre produce valores de salida positivos (su rango es \((0, \infty)\)), estos valores positivos se convierten en las únicas entradas válidas para la función logarítmica inversa. Es decir, si \(y = a^x\), entonces \(x = \log_a y\), y como \(y\) siempre es positivo, el argumento del logaritmo también debe serlo.
Conclusión
Comprender el dominio de una función logarítmica es un pilar fundamental en el estudio del cálculo y las matemáticas en general. Hemos visto que la restricción de que el argumento de un logaritmo debe ser siempre mayor que cero no es una regla arbitraria, sino una consecuencia directa de su relación inversa con las funciones exponenciales. Esta característica no solo define la gráfica de una función logarítmica, sino que también es crucial para resolver ecuaciones, desigualdades y aplicar logaritmos correctamente en problemas del mundo real.
Desde el análisis del crecimiento de poblaciones hasta la medición de la intensidad del sonido o la acidez de una solución, los logaritmos son herramientas poderosas. Sin embargo, su correcta aplicación siempre dependerá de una comprensión sólida de sus propiedades, especialmente su dominio. Al recordar que solo los números reales positivos pueden ser el argumento de un logaritmo, estarás bien equipado para abordar con confianza cualquier problema que involucre estas fascinantes funciones.
Si quieres conocer otros artículos parecidos a ¿Cuál es el Dominio de un Logaritmo? puedes visitar la categoría Matemáticas.
